找回密码
 注册
搜索
热搜: 活动 交友
查看: 743|回复: 0

数学界烂透了国耻已经不足以形容-国家最高科学奖数学项目谷超豪-吴文俊-全部都是水货

[复制链接]

504

主题

457

回帖

8526

积分

论坛元老

积分
8526
发表于 2025-9-27 21:01:59 | 显示全部楼层 |阅读模式
本帖最后由 ygvfe 于 2025-9-29 18:57 编辑

最高科学家数学项目只有2个,吴文俊,
谷超豪.
  1】数学白痴吴文俊https://bbs.aboluowang.com/thread-1129065-1-1.html
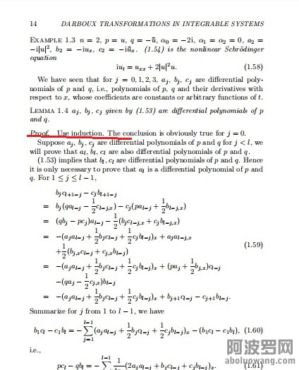
吴文俊归纳法证明



吴文俊归纳法证明.jpg
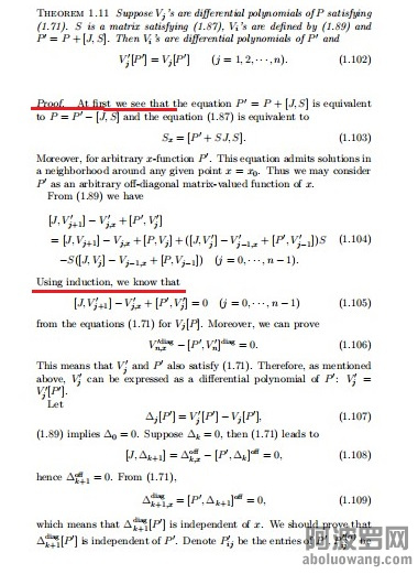
2】谷超豪使用归纳法证明数学定理


为什么不能用归纳法证明?


因为设立命题时使用少量样本归纳出来的,再用少量样本证明,就不可靠了。少量样本归纳证明只是增加了命题的可信度,不能证明整个理论的正确,这就是归纳证实的局限性。


因为归纳法没有充足理由仅仅依靠少量样本概括由无穷多个元素组成全称判断命题的属性。


举例哥德巴赫猜想:


原始信息(6=3+3,8=3+5,..。就是逐一归纳有限的样本,具有某种性质(两个素数之和),于是归纳推出“哥德巴赫猜想”推导出数量有无穷多个的样本也具有某种性质)。


在归纳基础上产生的猜想,通过演绎证明是不对等的。


归纳是在一个有穷大的样本中逐一列举, 只要样本空间没有被穷尽, 使用的都是简单枚举归纳推理。


对于无穷大的样本, 我们根本不可能穷尽该样本空间, (例如哥德巴赫猜想中的偶数就有无穷多个)因此只能使用简单枚举归纳推理,简单枚举归纳推理是一种扩大前提的推理, 它的结论是不可靠的。


使用归纳推理提出假说, 其假说是非常脆弱的, 因为对它的证实是不可能的, 除非你穷尽样本空间, 而一旦如此, 你使用的已经不是归纳推理了。


它的脆弱性还表现在, 只要一个反例, 就可以容易地推翻这个假说。


归纳推理是基于有限观察的,从有限样本推出一般结论的推理, 它的前提是关于个别事物具有某种性质的论断, 结论却试图得出全体事物皆具有此性质的论断,中间有一个巨大的逻辑空挡。


无穷多个样本的数学定理必须是全称判断,数学家必须完成一个:由归纳出来的有限个事实样本去证实无穷多个元素的--不可能完全证实的命题进行演绎方法证明,并且结论是全称肯定判断的正确三段论只能是第一格的AAA式。这是绝大多数数学命题证明无法做到的。


谷超豪思维混乱,完全没有逻辑学常识,所有的论文都是错误的(就是说,没有一篇论文是正确的)
谷超豪22归纳法.jpg 谷超豪归纳.jpg

谷超豪的学生李大潜也是智障,他的定理有:假设-进一步假设,最后假设。即三重假设。
定理必须是明确的判断,这么多假设,就不是定理。
李大潜定理-假设-进一步假设-最后假设.jpg



谷超豪的定理居然是或然判断:(定理必须是必然判断,
而“至多一个α”是或然判断)。
定理2.12 (1)若存在至多一个α(1≤α≤r)使得ρα = 0,则....。

证明。首先假设ρα = 0。根据...。
谷超豪定理.jpg






您需要登录后才可以回帖 登录 | 注册

本版积分规则

手机版|阿波罗网

GMT+8, 2025-12-31 05:39

快速回复 返回顶部 返回列表